Recensământul Populației și Locuințelor, cel mai important eveniment social al anului, a debutat pe 14 martie, pentru prima dată în istorie, sub o nouă formă. Întregul proces este complet digitalizat și a fost introdusă și o etapă de autorecenzare, care se desfășoară până pe 15 mai, urmând ca apoi să aibă loc intrarea recenzorilor în teren, la acele adrese unde nu s-a făcut autorecenzarea.
STIRIPESURSE.RO prezintă rezultatele primelor 25 zile de autorecenzare care se face pe site-ul special dedicat, recensamantromania.ro. Astfel, după 25 zile, potrivit informațiilor exclusive pe care STIRIPESURSE.RO le deține, a fost depășit un nou prag psihologic: numărul de chestionare a depășit 3 milioane.
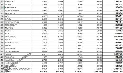
Bucureștiul este pe primul loc, cu peste 255.000 de chestionare completate și trimise. Brașovul își consolidează locul 2, cu peste 117.000 de chestionare, în detrimentul Clujului, care are aproape 115.000. Prahova și Timiș mai sunt județele care au depășit bariera de 100.000 de chestionare trimise. În schimb, Mehedinți, Giurgiu, Covasna, Caraș-Severin și Tulcea sunt codașe, până acum, în topul autorecenzării.
”Autorecenzarea este o etapă importantă a recensământului. Am propus o inovație și ne bazăm că românii vor demonstra spirit civic, așa cum au mai făcut-o. Mizăm pe implicarea oamenilor, dar și a factorilor locali, pentru că recensământul stă la baza tuturor deciziilor viitoare pe care autoritățile centrale și locale le vor lua pentru următorii 10 ani. Pe baza cifrelor de la recensământ, statul își stabilește prioritățile, investițiile și politicile publice. Totodată, considerăm că mediul de afaceri este și el direct interesat de succesul recensământului, așa că ne dorim ca autorecenzarea să demonstreze aportul tuturor pentru prezentul și viitorul țării. Trebuie să precizez și implicarea deosebită pe care o au minoritățile naționale, alături de cultele religioase.”, a spus Tudorel Andrei, președintele INS, în exclusivitate pentru STIRIPESURSE.RO.
Facem mențiunea că fiecare salariat care se autorecenzează sau este autorecenzat are dreptul la o zi liberă plătită din partea angajatorului.
Citește și: Trucul prin care poți obține o zi liberă de la serviciu: Îți ia numai 15 minute ca să îl faci
Autorecenzarea se poate face pe www.recensamantromania.ro sau pe autorecenzare.insse.ro. Pentru cei care nu au dispozitive conectate la internet sau nu știu să utilizeze un astfel de instrument, autorecenzarea se poate face în punctele de autorecenzare asistată stabilite de fiecare primărie din țară.
Angajatorii au obligaţia de a le acorda angajaților care prezintă codul eliberat de platformă o zi liberă. Ziua liberă plătită se acordă în termen de maximum 12 luni de la data realizării cu succes a autorecenzării, respectiv până cel târziu în luna mai a anului 2023, de comun acord angajat-angajator. Codul de confirmare a încheierii cu succes a autorecenzării este generat automat de platforma informatică a site-ului recensământului pentru fiecare formular individual transmis cu succes către baza de recensământ.
Pentru prima dată în istoria recensămintelor, Institutul Național de Statistică a decis ca Recensământul Populației și Locuințelor să aibă loc doar digital, fără celebrele formulare pe hârtii. O primă etapă, cea a autorecenzării, a început pe 14 martie, când românii pot completa online formularele și vor primi o zi liberă de la serviciu. Este o premieră de care pot profita, conform legii, toți românii cu contract de muncă, indiferent că sunt de la stat sau de la privat, și care aleg să se autorecenzeze în perioada 14 martie - 15 mai. În această etapă, are loc, simultan, și autorecenzarea asistată, când cei care vor să se autorecenzeze, dar întâmpină dificultăți, o pot face cu ajutorul unui recenzor la un terminal pus la dispoziție de fiecare primărie din România.
A doua etapă este recensământul obișnuit, dar care vine și ea cu o premieră: recenzarea va fi făcută de către recenzori pe tabletă. Această etapă are loc în perioada 16 mai – 17 iulie 2022, când recenzorii vor merge doar în acele locuințe în care nu s-a făcut autorecenzarea.
Toată procedura de autorecenzare, de la completarea formularului de preînregistrare până la apăsarea butonului de finalizare a chestionarului de recensământ durează, de regulă, între 10 și 15 minute.
































Comentează