Vaccinarea împotriva COVID-19 a redus, în România, de peste cinci ori riscul de infecţie, de peste zece ori riscul de spitalizare şi de aproape 14 ori riscul de internare în ATI. De asemenea, prin vaccinare s-a redus de peste 20 de ori riscul de deces în urma COVID-19, arată datele unei analize făcute de Comitetul de coordonare a vaccinării în perioada februarie-mai, când varianta Alfa a coronavirusului era dominantă.
Comitetul Naţional de Coordonare a Activităţilor privind Vaccinarea împotriva COVID-19 (CNCAV) anunţă că a realizat studiul de eficienţă a vaccinării împotriva COVID-19 în rândul persoanelor vaccinate, comparativ cu evoluţia persoanelor nevaccinate. Setul de date analizat a inclus peste 2,7 milioane de teste (pozitive şi negative), colectate de la peste 1,7 milioane de persoane unice, cu vârsta de peste 16 ani şi cu istoric cunoscut de vaccinare împotriva COVID-19.
Analiza a fost făcută în perioada februarie - mai 2021, atunci când varianta Alfa a virusului era dominantă în ţara noastră.
Rezultatele au arătat că:
La persoane nevaccinate:
- 659 cazuri de infecţie
- 167 spitalizări
- 10 internări în ATI
- 27 decese
La persoane cu schemă incompletă de vaccinare, după 14 zile de la efectuarea dozei 1:
- 404 cazuri de infecţie
- 85 spitalizări
- 4 internări în ATI
- 10 decese
La persoane vaccinate complet, după 14 zile de la efectuarea dozei 2:
- 69 de cazuri de infecţie
- 14 spitalizări
- 0.9 internări în ATI
- 1.6 decese
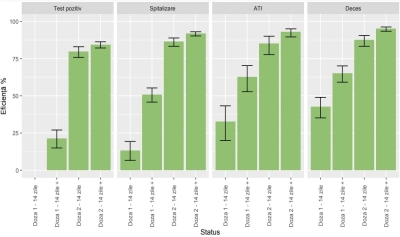
"Întrucât riscul de evoluţie severă a bolii variază în funcţie de populaţia analizată, eficienţa vaccinării împotriva infecţiei, a spitalizării, internării în ATI şi a decesului în urma COVID-19 a fost calculată ajustat, în funcţie de vârstă, sex şi săptămâna testării", a precizat CNCAV.
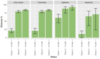
Astfel, eficienţa împotriva infecţiei, începând cu 14 zile de la efectuarea dozei 2, este de 84.1% la vaccinul Comirnaty/BioNTech Pfizer, 93.1% la Spikevax/Moderna şi 71.1% la Vaxzevria/AstraZeneca.
Eficienţa vaccinului Janssen va fi evaluată în perioada următoare, întrucât administrarea acestuia a început în 4 mai şi nu s-au acumulat suficiente date pentru perioada raportată (până la 31 mai).
CNCAV a prezentat şi eficienţa cumulată pentru toate tipurile de vaccin, calculată după 14 zile de la efectuarea dozei 2:
- eficienţa împotriva infecţiei: 84.4%
- eficienţa împotriva spitalizării: 91.8%
- eficienţa împotriva internării în ATI: 92.8%
- eficienţa împotriva decesului: 95.1%
"În România, vaccinarea împotriva COVID-19 a redus de peste 5 ori riscul de infecţie, de peste 10 ori riscul de spitalizare, de aproape 14 ori riscul de internare în ATI, de peste 20 de ori riscul de deces în urma COVID-19. O altă concluzie observată a fost că protecţia împotriva spitalizării, internării în ATI şi a decesului este de peste 50% încă de la administrarea dozei 1, la minim 14 zile de la efectuarea acesteia", a precizat CNCAV.
Potrivit sursei citate, beneficiile maximale se obţin după 14 zile de la efectuarea schemei complete de vaccinare, ceea ce subliniază importanţa administrării dozei 2.
"Vaccinarea rămâne soluţia sigură şi eficientă pentru învingerea pandemiei COVID-19, iar vaccinurile utilizate în România sunt autorizate de EMA, cel mai important for decizional, care reuneşte experţi la nivel european.(...) Este nevoie mai mult ca oricând sa manifestam solidaritate şi sa alegem vaccinarea, pentru siguranţa noastră şi a celor dragi. Să avem încredere în actul medical şi în ştiinţă! Doar prin vaccinarea împotriva COVID-19 vom reuşi să ajungem la normalitate şi să redăm şansa la viaţa celor mai vulnerabili dintre noi!", au transmis reprezentanţii CNCAV.

































Comentează