Măsura supra-taxării s-a dovedit proastă. PDL cere Guvernului Ponta să elimine aceasta taxă sau să susțină în regim de urgență în viitoarea sesiune parlamentară proiectul de lege pe care l-am depus în luna aprilie 2014, pentru eliminarea integral a supra-accizei la carburant.
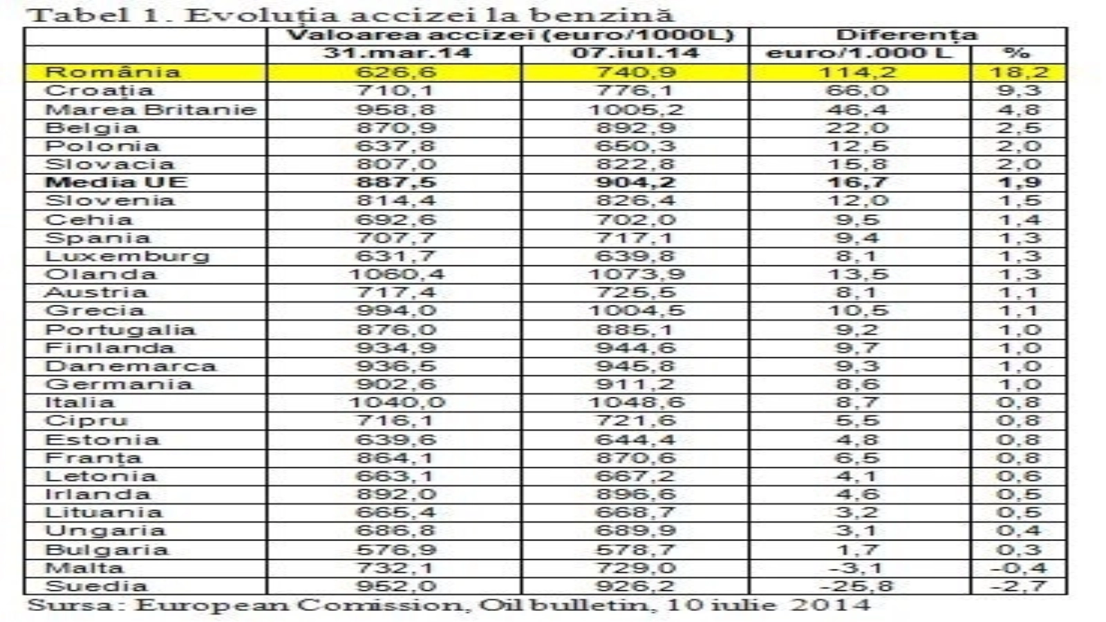
Românii au cea mai mare creștere a prețului la benzină din UE
În România, acciza la benzină a crescut cu peste 18% de la 1 aprilie, în timp ce, la nivel european, nu s-a majorat nici cu 2% (Tabel 1).
Ce înseamnă pentru consumatorul de rând? Că avem cea mai mare creștere a prețului la benzină din întreaga Uniune Europeană. Creșterea accizei la 1 aprilie a condus la creșterea prețului la benzină cu aproape 17 eurocenți pe litru (Tabel 2), adică peste 74 de bani plătiți suplimentar de români pe fiecare litru de benzină, la un curs mediu de 4,5 lei/euro.
Prin urmare, dacă la sfârșitul lunii martie a acestui an un șofer putea alimenta cu 100 de lei o mașină cu 17,6 litri din cea mai ieftină benzină, astăzi, cu aceeași sumă de bani, va mai putea cumpăra doar 15,5 litri.
Avem cea mai mare creștere a prețului la motorină din UE
Acciza la motorină a crescut cu aproape 18% de la 1 aprilie 2014 și până în prezent (Tabel 3). La nivel european, acciza a crescut cu numai 1,3%. Impactul asupra prețului la motorină este semnificativ: avem cea mai mare creștere a prețului la motorină din UE, de 13 eurocenți pe litru (Tabel 4). Aceasta înseamnă că românii scot din buzunar suplimentar, la fiecare litru de motorină, cu 58,5 bani mai mult față de acum trei luni, la un curs mediu de 4,5 lei/euro.
Așadar, dacă la sfârșitul lunii martie, cu 100 lei, o mașină era alimentată cu 17,1 litri din cea mai ieftină motorină, astăzi rezervorul va mai fi umplut cu doar 15,6 litri cu aceeași sumă de bani.
În Bulgaria, prețul a crescut cu numai 1,2%, în Ungaria a rămas aproape nemodificat (creștere de numai 0,2%), iar în Polonia este cu 1,3% mai mare. În 7 țări din UE, prețul la motorină a scăzut în ultimele 3 luni.
În ritmul de acum, Guvernul are nevoie de 2 ani să obțină încasările estimate la bugetul de stat din majorarea accizei
Creșterea accizei la carburanți nu a adus nici pe departe încasările așteptate la bugetul de stat. Veniturile din accize la buget au crescut cu 3,9 miliarde lei de la sfârșitul lunii martie 2014 până la sfârșitul lunii mai. Surprinzător, anul trecut în aceeași perioadă, când încă nu era aplicată acciza suplimentară, s-a înregistrat o creștere a veniturilor la buget de 3,7 miliarde lei în aceeași perioadă.
Prin urmare, avem încasări mai mari cu numai 200 milioane lei din accize în lunile aprilie și mai; practic, câte 100 milioane lei sau 22,2 milioane euro în fiecare lună. În acest ritm, abia în 22 de luni și jumătate va putea Guvernul să adune cele 500 milioane de euro estimate de Guvernul PSD a fi încasate la bugetul de stat.
În aceste condiții ne putem lua adio de la autostrăzile promise. Guvernul a anunțat anterior că tronsonul Nădășel - Suplacu de Barcău din Autostrada Transilvania, cu o lungime de 93 de kilometri, și tronsonul de autostradă Târgu Neamț-Târgu Mureș vor fi finanțați din banii obținuți din acciza suplimentară de 7 eurocenți la combustibil.


































Comentează